고려대학교 주재걸 교수님의 부스트코스 "인공지능을 위한 선형대수"를 공부한 내용입니다.
이번 차시에는 선형방정식과 선형시스템 강의를 듣고 작성했습니다.
선형방정식과 선형시스템
1. 선형방정식이란??
: 자료에서는 선형방정식을 다음처럼 정의

여기서
- x1,x2,…,xn: 우리가 구해야 하는 변수
- a1,a2,…,an: 각 변수 앞의 계수
- : 상수항
위의 방정식은 다음과 같이 쓸 수 있습니다

2. 선형시스템
: 선형시스템은 여러 개의 선형방정식을 묶은 것이다.
자료에서도 같은 변수들을 공유하는 하나 이상의 선형방정식의 모음이라고 정의한다
연립방정식이랑 비슷하게 생겼어용

3. 여러 식을 하나의 행렬식으로 표현하기
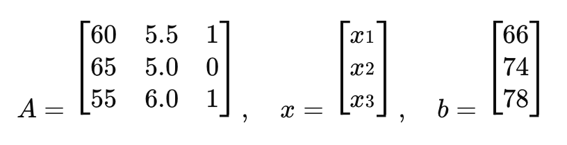
자료의 예시는 사람의 몸무게,키, 흡연 여부로 수명을 예측하는 선형시스템이다. 각 사람의 데이터로부터 다음과 같은 식을 세운다.
주어진 행렬을 내적하면 오른쪽 사진처럼 나온다.


즉 식으로 정리하며

4. 항등행렬(Identity Matrix)
: 항등행렬은 정사각행렬 중에서 대각선은 1,나머지는 모두 0인 행렬이다. 자료에서는 이를 In으로 표기한다고 설명한다.

항등행렬의 가장 중요한 성질은 어떤 벡터에 곱해도 원래 벡터가 그대로 나온다는 점이다.

5. 역행렬(Inverse Matrix)
: 정사각행렬 에 대해, 어떤 행렬 A'가 존재해서A'A=AA'=I
를 만족하면 A'를 A의 역행렬이라고 한다.
(기호표시가 어려워 임의로 A'라고 표기)
항상 정사각임

2×2 행렬의 역행렬
: 2x2 행렬을 역행렬 구하는 공식이 있다

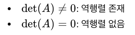
단, 분모의 ad−bc가 매우 중요하다. 이 값이 0이면 역행렬이 존재하지 않는다.
6. 역행렬로 선형시스템 풀기
* 역행렬이 있을 경우 해는 고유하게 1개 존재

예시

7. 역행렬이 없는 경우
* 모든 행렬이 역행렬을 가지는 것은 아니다
행렬식(determinant)이라고 한다.


8. 해가 하나가 아닐 수도 있다
자료에서는 A가 역행렬을 가지면 해는 유일하게 하나라고 말한다.
반면 A가 역행렬을 가지지 않으면, Ax=b는 해가 없거나, 또는 무한히 많은 해를 가질 수 있다고 설명한다.
이것은 선형시스템이 항상 깔끔하게 하나의 정답만 갖는 것은 아니라는 의미이다.
즉, 행렬의 구조에 따라 해의 개수가 달라질 수 있다.
9. 직사각행렬일 때의 해석
자료에서는 A∈Rm×n처럼 행과 열의 수가 다른 직사각행렬도 다룬다. 여기서 중요한 건 다음 해석이다.
- m: 방정식 개수
- n: 변수 개수
그리고 경우를 나누면,
m<n
변수 수가 더 많다.
즉, 식보다 미지수가 많아서 보통 해가 무한히 많다.
자료에서는 이를 under-determined system이라고 부른다.
m>n
방정식 수가 더 많다.
즉, 맞춰야 할 조건이 너무 많아져서 보통 해가 없다.
자료에서는 이를 over-determined system이라고 설명한다.
'선형대수' 카테고리의 다른 글
| [선형대수] 2-5. 부분공간의 기저와 차원 (0) | 2026.03.23 |
|---|---|
| [선형대수] 2-4. 선형시스템 및 선형변환 (0) | 2026.03.23 |
| [선형대수] 2-3. 선형결합(Linear Combinations) (0) | 2026.03.23 |
| [선형대수] 2-2. 실습 (0) | 2026.03.23 |
| [선형대수] 1. 선형대수의 기초 (0) | 2026.03.23 |